O Sistema Endocanabinoide (SEC) transcende a neurociência, consolidando-se como um sistema de sinalização lipídica central para a homeostase fisiológica. É fundamental reconhecer que o SEC não é apenas um maestro do equilíbrio metabólico e neuronal, mas também um modulador essencial e frequentemente subestimado da resposta imunológica humana.
Nesta intersecção crítica entre sinalização lipídica e imunidade, surge o 2-Araquidonoilglicerol (2-AG). Sendo um dos principais endocanabinoides endógenos, o 2-AG não atua apenas como um neurotransmissor retrógrado no SNC, mas demonstra uma influência potente e específica no controle da inflamação e da resposta imune adaptativa e inata. Compreender a dinâmica do 2-AG e seu principal receptor periférico, o CB2, é abrir caminho para novas abordagens terapêuticas em condições caracterizadas por disfunção imunológica e inflamação crônica.
Veja nessa postagem
O que é o 2-AG e como ele age?
O 2-Araquidonoilglicerol (2-AG) é um dos monoacilgliceróis mais estudados e um lipídio bioativo endógeno, comportando-se como um agonista completo para ambos os receptores canabinoides, CB1 e CB2. Sua importância biológica é inquestionável; no cérebro, seus níveis são aproximadamente 170 vezes maiores que os da anandamida (AEA), um outro importante endocanabinoide.²
Contudo, a relevância do 2-AG se estende vigorosamente além do SNC. A chave para o seu papel regulador da imunidade reside na distribuição estratégica do Receptor CB2. Enquanto o CB1 é reconhecido como o Receptor Acoplado à Proteína G (GPCR) mais expresso no Sistema Nervoso Central, o CB2 possui localização predominante nas células do sistema imune e em tecidos periféricos.²
Essa localização específica permite que o 2-AG atue como um modulador fundamental da resposta inflamatória. Ao ligar-se ao CB2 em células periféricas e no SNC (especialmente na Microglia, onde o CB2 é expresso após insultos), o 2-AG desencadeia cascatas de sinalização que impactam diretamente a função das células de defesa. As principais células imunes que respondem a esse sinal incluem: Macrófagos, Neutrófilos, Mastócitos, Linfócitos T e Linfócitos B. A ativação do CB2 pelo 2-AG nessas células representa um mecanismo de feedback negativo essencial para controlar a intensidade e a duração da resposta imune, prevenindo o dano tecidual associado à inflamação desregulada.
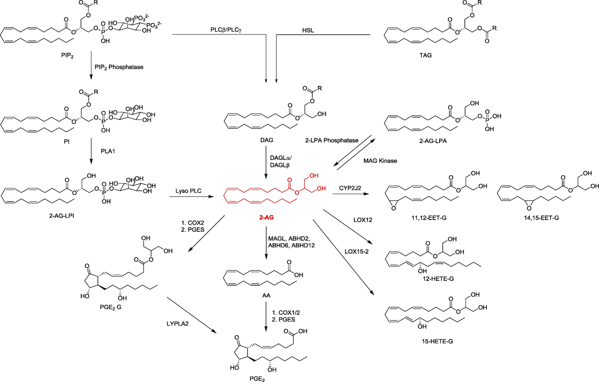
A ação do 2-AG é caracteristicamente transitória e localizada, uma vez que ele não é armazenado em vesículas como os neurotransmissores clássicos, mas sim sintetizado e liberado “sob demanda”. Este rigoroso controle de tempo e espaço é garantido por um equilíbrio preciso entre enzimas biossintéticas e catabólicas no Sistema Endocanabinoide.²
Biossíntese: O Papel das DAGL
A principal via de síntese do 2-AG é Ca2+-dependente e envolve a ação sequencial da Fosfolipase C (PLC) e, crucialmente, da Diacilglicerol Lipase (DAGL).¹
- A PLC atua sobre os fosfolipídeos de membrana, gerando o diacilglicerol (DAG).
- A DAGL (principalmente as isoformas α e β) hidrolisa o DAG para formar o 2-AG.

Essa distinção das isoformas DAGL é clinicamente relevante: a DAGL−α é proeminente nos neurônios pós-sinápticos e regula a plasticidade sináptica retrógrada, enquanto a DAGL−β tem maior expressão em células do sistema imune e na microglia, conferindo-lhe um papel mais direto na neuroinflamação.
Degradação: O eixo MAGL e a inflamação
O sinal do 2-AG é rapidamente desativado pela hidrólise enzimática. A principal enzima responsável pelo catabolismo do 2-AG no cérebro é a Monoacilglicerol Lipase (MAGL), que responde por aproximadamente 85% da sua degradação. A MAGL atua principalmente nos terminais pré-sinápticos, terminando o sinal do 2-AG.¹
A hidrólise do 2-AG pela MAGL não apenas desativa o endocanabinoide, mas também é metabolicamente significativa, pois libera ácido araquidônico (AA) e glicerol.
- O AA liberado é o principal precursor dos eicosanoides pró-inflamatórios (como as prostaglandinas PGE2).
- Portanto, a inibição da MAGL não só eleva o 2-AG (com efeitos CB1/CB2-mediados) mas, paradoxalmente, reduz o pool de AA livre, diminuindo a produção de mediadores inflamatórios. Este duplo mecanismo faz da MAGL um alvo promissor para terapias anti-inflamatórias e neuroprotetoras.
A complexidade da sinalização do 2-AG, desde sua síntese pontual pela DAGL até sua degradação multifacetada, ilustra a sofisticação do SEC em equilibrar a necessidade de rápida comunicação celular com a necessidade de controle rigoroso da inflamação.
O papel modulador do 2-AG na imunidade
O 2-AG e a ativação do Receptor CB2 atuam essencialmente como um mecanismo de downregulation, atuando como um “freio” farmacológico que modula e mitiga a hiperatividade imunológica.¹ Essa função é vital para prevenir a exacerbação das reações de defesa, que pode levar à inflamação crônica e autoimunidade.
- Ação Anti-inflamatória: A principal função observada da sinalização do 2-AG via CB2 é a redução da inflamação. Ao ser ativado, o CB2 pode:
- Reduzir a produção de citocinas pró-inflamatórias: Diminui a síntese e a liberação de mediadores-chave como TNF−α, IL−6 e IL−1β.¹
- Controlar a quimiotaxia: Influencia a migração das células imunes, limitando o recrutamento excessivo e a infiltração de leucócitos nos sítios de lesão, o que é crucial para resolver a inflamação.¹
- Imunossupressão ou Imunomodulação: Em contextos pós-infecciosos ou pós-lesionais, o 2-AG facilita a transição da fase efetora para a de resolução. Essa capacidade de exercer uma leve ação imunossupressora ou moduladora é fundamental para “desligar” a resposta imune, iniciando o reparo tecidual e restaurando a homeostase.
- Potencial em Doenças Autoimunes e Inflamatórias: Devido à sua robusta capacidade de atenuar a inflamação e modular a resposta imune, o eixo 2-AG/CB2 é um alvo terapêutico de intenso estudo para condições mediadas pela inflamação descontrolada:
- Doenças Neurodegenerativas com Componente Inflamatório: Como a Esclerose Múltipla (EM), onde a elevação do 2-AG pela inibição da MAGL se mostrou neuroprotetora e reduziu a gravidade dos sintomas em modelos pré-clínicos.3,4
- Doenças Inflamatórias Crônicas: Incluindo a Artrite Reumatoide e a Doença Inflamatória Intestinal (DII), onde a modulação desse eixo pode oferecer novas vias para o manejo da inflamação sistêmica e localizada.¹
Implicações clínicas e perspectivas terapêuticas
A compreensão detalhada da síntese e degradação do 2-AG via eixo DAGL−MAGL forneceu novas e promissoras direções para a intervenção terapêutica em patologias complexas. A manipulação farmacológica desse sistema lipídico revela o papel crítico do 2-AG em modular desde a neuroinflamação até a percepção da dor.
1. Neuroinflamação e Doenças Neurodegenerativas
O 2-AG atua como um potente regulador do microambiente inflamatório, especialmente no SNC. A estratégia de inibir a MAGL (enzima de degradação do 2-AG) demonstrou consistentemente efeitos neuroprotetores em modelos animais.5 Contudo, a lógica por trás dessa proteção é dual e sofisticada:
- Doença de Parkinson (DP): A neuroproteção conferida pela inibição da MAGL (com agentes como o JZL184) não é primariamente mediada pelos receptores canabinoides CB1/CB2. Em vez disso, o benefício deriva da redução do pool de AA livre e da subsequente diminuição na síntese de eicosanoides pró-inflamatórios (PGE2 e PGD2).6
- Doença de Alzheimer (DA): A inativação da MAGL suprime respostas pró-inflamatórias, reduz o acúmulo de β-amiloide (Aβ) e induz a melhora da função cognitiva em modelos de DA.7
- Lesão Cerebral Traumática (LCT): Nesses casos, o 2-AG exógeno provoca neuroproteção via ativação do CB1 e inibe a transativação do fator nuclear NFκ−B.8
2. Analgesia e modulação da Dor
O 2-AG é um agente analgésico potente, confirmando o potencial dos canabinoides na clínica da dor.¹ Seu efeito antinociceptivo é mediado por uma rede complexa de receptores:
- Ação CB1-Dependente: A elevação dos níveis endógenos de 2-AG por inibidores da MAGL (como o JZL184) produz antinocicepção em modelos de dor neuropática e inflamatória.9 Este efeito é classicamente bloqueado por antagonistas CB1 (como o rimonabanto), evidenciando a crucial modulação retrógrada da neurotransmissão da dor.10
- Vias não-canabinoides: O 2-AG estende sua atuação ao interagir com alvos “não-clássicos”, incluindo o receptor TRPV1 (receptor vaniloide) e o GPR55. A ativação do TRPV1 pelo 2-AG é particularmente relevante na regulação da dor inflamatória e da temperatura.11
A complexidade da sinalização do 2-AG, atuando como um mensageiro retrógrado no SNC e como um potente imunomodulador na periferia, o estabelece como um alvo terapêutico de alto valor. A otimização de inibidores seletivos de suas enzimas biossintéticas (DAGL) e catabólicas (MAGL) representa uma estratégia de precisão para restaurar o equilíbrio homeostático do SEC em condições que variam da neurodegeneração à dor crônica.
Conclusão
O 2-AG surgiu como um dos mais promissores mediadores do SEC, cuja sofisticação molecular o estabelece como um alvo terapêutico de alto valor. Ao atuar como o principal modulador do receptor CB2 nas células de defesa, o 2-AG representa a própria inteligência regulatória do SEC sobre o sistema imunológico. Ele é o sinal endógeno que clama por homeostase, buscando mitigar o excesso de inflamação que está no cerne das patologias crônicas.
A otimização de inibidores seletivos para as enzimas biossintéticas (DAGL) e catabólicas (MAGL) do 2-AG não é apenas uma estratégia bioquímica, mas sim uma abordagem de precisão farmacológica para organizar o sistema imunológico.
Dominar essa dinâmica molecular nos permitirá abrir novas e importantes abordagens para o manejo de doenças autoimunes, condições neurodegenerativas e síndromes de dor crônica refratárias, marcando uma das próximas fronteiras na medicina. O futuro da imunoterapia pode, de fato, residir no controle fino dessa minúscula, mas poderosa, molécula.
Prepare-se para o Futuro: Certificação Internacional da WeCann Academy
Assim como o Sistema Endocanabinoide redefiniu a compreensão da homeostase, o eixo 2-AG/CB2 amplia de forma decisiva o horizonte da imunologia contemporânea. Entender como essa molécula endógena regula a inflamação, a resposta imune e os processos de resolução tecidual é mais do que conhecimento teórico — é preparo clínico para uma medicina de precisão baseada em evidências científicas.
Estar à frente dessa evolução exige mais do que familiaridade com os conceitos. Exige compreender quando, como e em quais contextos clínicos a modulação do SEC — incluindo vias como DAGL e MAGL — pode fazer a diferença no manejo de doenças inflamatórias, autoimunes, neurodegenerativas e da dor crônica.
Nesse cenário, iniciativas educacionais especializadas tornam-se estratégicas para médicos que desejam liderar essa nova fase da medicina baseada em evidências. Dominar a biologia do 2-AG e sua interface com o sistema imunológico é um passo essencial para integrar ciência, segurança e racionalidade terapêutica à prática clínica.
A Certificação Internacional em Medicina Endocanabinoide da WeCann Academy surge como uma oportunidade estratégica para médicos que desejam se posicionar na vanguarda da medicina contemporânea. Com uma formação robusta, reconhecimento internacional e forte embasamento científico, a WeCann Academy capacita o profissional a compreender profundamente o SEC e a prescrever cannabis medicinal com domínio técnico, segurança e sensibilidade clínica.
Investir nessa Certificação é investir na transformação da qualidade de vida de pacientes crônicos e refratários e no fortalecimento de uma carreira médica sólida e reconhecida.
Inicie sua jornada de aprendizado com a WeCann Academy agora: Certificação em Medicina Endocanabinoide – WeCann Academy

Referências
- Baggelaar MP, Maccarrone M, van der Stelt M. 2-Arachidonoylglycerol: A signaling lipid with manifold actions in the brain. Prog Lipid Res. 2018;71:1-17.
- MONTAGNER,Patrícia; DE SALAS-QUIROGA, Adán. Tratado de Medicina Endocanabinoide.1. ed. WeCann Endocannabinoid Global Academy, 2023.
- M. Brindisi, S. Maramai, S. Gemma, S. Brogi, A. Grillo, L.D. Mannelli, et al. Development and pharmacological characterization of selective blockers of 2-arachidonoyl glycerol degradation with efficacy in rodent models of multiple sclerosis and pain J Med Chem, 59 (6) (2016), pp. 2612-2632
- G. Hernandez-Torres, M. Cipriano, E. Heden, E. Bjorklund, A. Canales, D. Zian, et al. A reversible and selective inhibitor of monoacylglycerol lipase ameliorates multiple sclerosis Angew. Chem. Int. Ed., 53 (50) (2014), pp. 13765-13770
- N. Murataeva, A. Straiker, K. Mackie Parsing the players: 2-arachidonoylglycerol synthesis and degradation in the CNS Br J Pharmacol, 171 (6) (2014), pp. 1379-1391
- D.K. Nomura, B.E. Morrison, J.L. Blankman, J.Z. Long, S.G. Kinsey, M.C. Marcondes, et al. Endocannabinoid hydrolysis generates brain prostaglandins that promote neuroinflammation Science, 334 (6057) (2011), pp. 809-813
- J.R. Piro, D.I. Benjamin, J.M. Duerr, Y. Pi, C. Gonzales, K.M. Wood, et al. A dysregulated endocannabinoid-eicosanoid network supports pathogenesis in a mouse model of Alzheimer’s disease Cell Rep, 1 (6) (2012), pp. 617-623
- D. Panikashvili, N.A. Shein, R. Mechoulam, V. Trembovler, R. Kohen, A. Alexandrovich, et al. The endocannabinoid 2-AG protects the blood-brain barrier after closed head injury and inhibits mRNA expression of proinflammatory cytokines Neurobiol Dis, 22 (2) (2006), pp. 257-264
- J. Guindon, Y. Lai, S.M. Takacs, H.B. Bradshaw, A.G. Hohmann Alterations in endocannabinoid tone following chemotherapy-induced peripheral neuropathy: effects of endocannabinoid deactivation inhibitors targeting fatty-acid amide hydrolase and monoacylglycerol lipase in comparison to reference analgesics following cisplatin treatment Pharmacol Res, 67 (1) (2013), pp. 94-109
- S.G. Kinsey, J.Z. Long, S.T. O’Neal, R.A. Abdullah, J.L. Poklis, D.L. Boger, et al. Blockade of endocannabinoid-degrading enzymes attenuates neuropathic pain J Pharmacol Exp Ther, 330 (3) (2009), pp. 902-910
- P.M. Zygmunt, A. Ermund, P. Movahed, D.A. Andersson, C. Simonsen, B.A. Jonsson, et al. Monoacylglycerols activate TRPV1—a link between phospholipase C and TRPV1 Plos One, 8 (12) (2013), Article e81618